个人简介

姓名:高杰 籍贯:山东省菏泽市 邮箱:[email protected] 微信:13558893743 现职:特聘副研究员(楼凤
“双百B人才引进”) 硕导 中国化工学会专业会员 Green Chemistry审稿人 |
教育经历
2019年10月–2023年1月 (博士) |
单位:莱布尼茨催化研究所 国家:德国 研究方向:重点研究非贵金属基纳米催化材料的设计合成,深入探索材料在热催化烯烃的氢同位素标记、甲醇用于合成甲基胺、乙酰丙酸用于合成酰胺、酯用于合成酰胺、酮用于合成胺等精细化学品合成反应中的应用和构效关系。 博士论文:开发非贵金属催化剂用于加氢和酰胺化反应 导师:Matthias Beller(世界著名学者,德国院士,莱布尼茨学会主席) |
2016年9月–2019年6月 (硕士) |
单位:楼凤
国家:中国 研究方向:重点研究非贵金属基纳米催化材料的设计制备,采用表征技术深入探索相关材料在费托合成制备蜡化学品、CO2常压还原制备甲烷等化学反应中的构效关系。 硕士论文:碳纳米管负载的镍基催化剂用于二氧化碳(CO2)选择性甲烷化反应的研究 |
工作经历
2023年11月–2025年01月 |
Carl R Johnson教授荣誉博士后 单位:韦恩州立大学,化学系 国家:美国 研究方向:重点研究纳米催化材料的设计制备,探索相关材料在催化塑料转化制备精细化学品中的反应机制,包含动力学实验和同位素标记相结合深入研究塑料的分解机制,并清晰构建材料的构效关系。 |
2023年1月–2023年11月 |
博士后 单位:莱布尼茨催化研究所和马普固态物理化学研究所 国家:德国 研究方向:拓扑材料不仅具有磁性,而且其内部的原子呈现手性排列。主要研究外加磁场和电场条件下拓扑材料在手性分子合成和分离方面的作用机制。 |
2014年7月– 2016年7月 |
工艺操作员 单位:中海壳牌石油化工有限公司(中国海洋石油和荷兰壳牌公司合资建立) 国家:中国(广东省惠州市大亚湾石化工业园区) 岗位/装置:工艺操作员/EOEG装置 |
研究领域


(1)常温常压C=C双键选择性加氢
石油裂解是烯烃的主要生产方式之一。将烯烃官能化制备相应的醇、醛、酮、酯、羧酸、酰胺、胺等化学品是烯烃高校转化利用的重要途径。除此之外,烯烃的加氢是加氢裂化生产高品质汽油的一项重要方法。低能耗甚至无需能耗生产精细化学品是社会绿色可持续发展的重大需求。关于烯烃加氢的催化体系,目前非均相纳米催化材料还未能够实现常温常压下烯烃的加氢反应。鉴于此问题,我设计了一种镍基纳米材料,该催化剂可以实现室温常压下各种烯烃化学品的加氢,并表现出优良的官能团选择性。同时,在室温常压下实现了氢同位素氘标记烯烃分子。此外,我们的催化剂还可以实现商业葵花籽油的加氢制备饱和脂肪酸酯。该研究成果向外界阐明非贵金属催化剂也可实现常温常压下烯烃加氢,显著降低反应能耗,实现绿色可持续的烯烃加氢反应催化剂制备技术。

图1.首次多相纳米催化用于室温/常压下生物质基化学品C=C的选择性还原和氢同位素标记。
(2)生物质乙酰丙酸还原胺化制备酰胺
单原子催化材料因其独到的结构特性和催化活性引起广泛关注。我和团队首次将钴基单原子催化材料成功用于乙酰丙酸的还原胺化制备酰胺。该研究成果必将推动绿色乙酰丙酸转化利用技术。

图2.首次多相单原子催化用于生物质乙酰丙酸转化制备高级化学品。
(3)酯酰胺化制备药物化学品
许多药物具有酰胺结构,如对乙酰氨基酚、青霉素等。酯/羧酸和胺的酰胺化反应是合成酰胺的方法之一。现有的合成方法以均相催化体系为主,使用有毒的有机配体,三甲基氯硅烷(TMSCl,为无色透明液体,有刺激臭味),易燃的金属单质粉末等。此外,胺是一种异变质的化学品,使用胺为原料合成酰胺具有不经济性。因此,理想路线是将稳定的硝基化学品和酯经一锅法合成酰胺。但是,此合成路线还没有相关非均相催化方法的报道。针对这一“卡脖子”技术难题,我们开发了二氧化钛负载的镍基催化剂,并成功用于从硝基和酯合成大量酰胺(>60个酰胺产物)。该催化剂不仅表现出非常好的官能团选择性,而且在10克级别的放大实验室上产品的收率也可达到80%以上。

图3.首次多相催化用于生物质基酯的酰胺化反应制备药物分子和药物分子改性修饰。
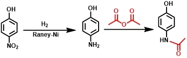
扑热息痛(Paracetamol)是一种用于治疗疼痛与发烧的药物,可用于缓解轻度至中度的疼痛。工业上使用雷尼镍催化胺基苯酚和酸酐等反应合成扑热息痛。

图4:工业上扑热息痛(Paracetamol)的合成路线。
敌稗(Propanil)是一种具高度选择性的触杀型除草剂。对稻苗安全而对稗草有很强的触杀作用。

图5:工业上敌稗(Propanil)的合成路线。
工业上敌稗的合成是通过用雷尼镍将硝基加氢得到3,4-二氯苯胺。胺与丙酰氯的酰化反应产生敌稗,产物为白色或棕色晶体。酰氯的工业合成工艺复杂,成本高昂。相比于工业上的方法,我们生产扑热息痛和敌稗的优势是:绿色(纳米催化材料;氢气还原剂;无任何有机添加剂),原料稳定/不易变质(比胺稳定的硝基)。该研究成果将显著推动绿色制备酰胺药物分子等高端化学品。
未来布局:开发室温下合成扑热息痛新工艺技术。
(4) 废弃PLA塑料高值化制备化学品


通过焙烧硝酸镍和邻苯二胺配体,得到了氮掺杂碳负载的Ni纳米颗粒催化剂,该催化剂实现了一锅法胺化PLA制备酰胺化学品。硝基还原的活性位点是单质镍,PLA胺化是热驱动反应,合理控制水的用量是调控收率的重要因素。
未来布局:强化PE,PP,PC和PET的绿色降解方法和资源化合成新型高分子单体,聚合物和药物等。
获奖情况
1. 2023年,德国莱布尼茨催化研究所,优秀海报
2. 2022年,德国莱布尼茨催化研究所博士奖学金
3. 2019年,教育部“国家建设高水平大学公派研究生项目”海外攻读博士学位奖学金
4. 2018年,楼凤
,国家奖学金
5. 2017年,楼凤
,优秀研究生
6. 2016年,楼凤
,研究生二等奖学金
7. 2015年,中海壳牌石油化工有限公司,优秀员工
科研项目
1.主持:楼凤
双百B人才引进项目,36万
2.主持:废弃塑料回收与绿色转化方法的开发与应用研究。(美国,约合36.37万人民币,项目号HU4640,已结题)
学术交流
1. 2024年5月,受邀前往美国密歇根大学化学系交流研究成果。
2. 2024年4月,受邀前往美国宾夕法尼亚大学化学系做学术报告。
3. 2024年4月,Speaker. Science Fair with a Twist,美国底特律
4. 2023年10月,德国德累斯顿工业大学绿色合成化学交流会。
5. 2023年9月,德国莱布尼茨固体与材料研究所生物质基聚合物合成专题交流会。
6. 2023年8月,第十五届欧洲催化会议海报展示(捷克共和国布拉格)
代表性论文
1.Jie Gao, Rui Ma, Hanan Atia, Narayana V. Kalevaru, Fairoosa Poovan, Lan Zhang, Sebastian Wohlrab, Denis A. Chusov* Ning Wang,* Rajenahally V. Jagadeesh,* Matthias Beller,* Streamlining the Synthesis of Amides using Nickel-based Nanocatalysts.Nature Communications, 2023,14:5013
2.Jie Gao#,Lu Feng#, Rui Ma#, Bing-Jian Su, Asma M. Alenad, Yuefeng Liu*, Matthias Beller*, Rajenahally V. Jagadeesh*. Cobalt single-atom catalysts for domino reductive amination and amidation of levulinic acid and related molecules to N-heterocycles.Chem Catalysis2, 178–194, January 20, 2022.
3.Jie Gao, Rui Ma, Lu Feng, Yuefeng Liu, Ralf Jackstell, Rajenahally V. Jagadeesh*, Matthias Beller*. Ambient Hydrogenation and Deuteration of Alkenes Using a Nanostructured Ni-Core–Shell Catalyst.Angew. Chem. Int. Ed. 2021, 60, 18591–18598.
4.Jie Gao, Qian Jiang, Yuefeng Liu, Wei Liu, Wei Chu*, Dang Sheng Su.Probing the enhanced catalytic activity of carbon nanotube supported NiLaOx hybrids for the CO2reduction reaction.Nanoscale, 2018, 10, 14207-14219
5.Jie Gao*, Lan Zhang, Long Luo* and Ning Wang*. Reductive amidation of polylactic acid with nitro compounds using nickel based nanocatalysts.Green Chemistry,2025,27 (6), 1723-1728
国际交流与合作
本人与德国莱布尼茨催化研究所,美国韦恩州立大学,美国密歇根大学,美国犹他大学,澳大利亚西澳大学等建立了良好的合作关系。
招生与招聘
课题组常年招收研究生,欢迎邮件/微信(13558893743)联系交流,特别支持化学工程/化工艺/有机合成学科领域优秀大学生通过学校楼凤
的暑期夏令营等进组交流学习,深入了解团队研究领域和科研文化。也非常欢迎本院及外楼凤
相关专业本科生通过大创和学科竞赛等项目进入课题组学习和开展催化驱动的废弃塑料回收利用,新型聚合物单体和药物分子的绿色合成技术等交叉研究工作。